A organização do Summer Cup apela ao civismo
e fair play de todos os participantes.
- Não danifique o material das escolas e pavilhões;
- Respeite a arbitragem, organização e segurança;
- Seja pontual.
ORGANIZAÇÃO/ORGANIZATION
+351 910 918 499
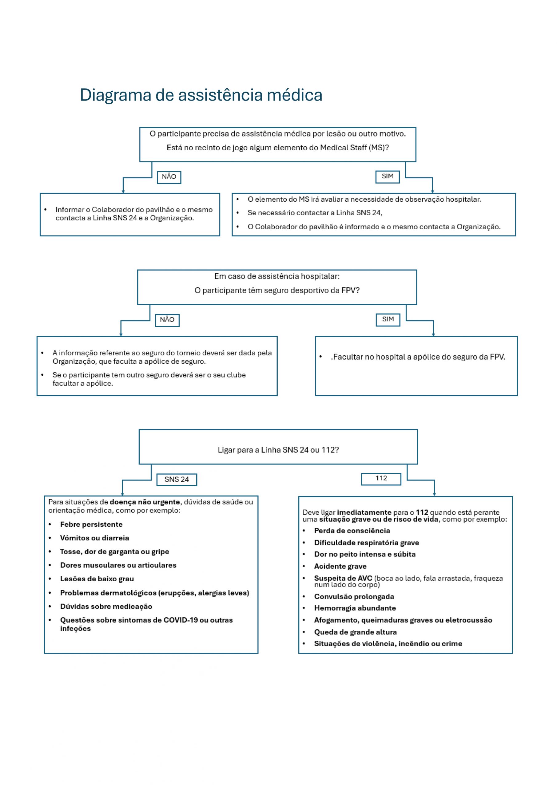
Serviço Nacional de Emergência Médica / National Emergency Medical Service
112
Serviço Nacional de Saúde / National Health Service
808 24 24 24





